Démonstration du théorème de Poincaré-Miranda :
Poser \(\varphi\) la différence entre \(x\) et \(f(x)\), où on restreint les résultats à \([0,1]\).


D'après le Théorème du point fixe de Brouwer, cette fonction admet un point fixe \(x^*\).

Si \(x^*-f_i(x^*)\in[0,1]\), alors par définition de \(\varphi\) et en utilisant le fait que \(x^*\) est point fixe, on a \(f_i(x^*)=0\).

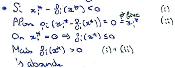
Le cas \(x_i^*-f_i(x^*)\lt 0\) est absurde car on aurait \(x_i^*=0\) par définition de \(\varphi\) et \(f_i(x^*)\gt 0\), ce qui contredit l'hypothèse.
